En la presentación de: El futuro no va a ser lo que nos habían contado…Emergencia energética y ecosocial, Jorge Riechmann menciona una conferencia de Ugo Bardi pronunciada en 2011 en España: La entropía, el cénit del petróleo y la filosofía estoica, cuya versión en ingles se puede encontrar en http://cassandralegacy.blogspot.com.es/2011/05/peak-oil-thermodynamics-and-stoic.html
Constituyendo un valioso aporte teórico para el desarrollo de la ecología política a continuación se ofrece una traducción al español del mencionado documento.

Tuve mucho tiempo para mi charla en la conferencia «Peak Oil: ¿hecho o ficción?», celebrada en Barbastro (España) del 4 al 7 de mayo de 2011. Así, pude divagar un poco sobre varios temas, desde la entropía de sistemas complejos a la filosofía estoica del emperador Marco Aurelio (arriba). Tal vez demasiadas cosas, pero, en cualquier caso, aquí hay una versión escrita desde la memoria donde traté de mantener el tono y el contenido de mi charla. He añadido encabezados para mayor claridad.
- Física sencilla y sistemas complejos
Por lo tanto, damas y caballeros, en primer lugar déjame mostrarte esta manzana (foto de Daniel Gomez)

No se preocupen; ¡no significa que esto será una charla muy larga! Traje esta manzana conmigo solo porque quería hablarles de la ley universal de gravedad de Newton. Como sabemos, parece ser cierto que se le ocurrió la idea porque vio una manzana cayendo de un árbol (¡aunque no haya caído directamente sobre su cabeza!).

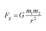
El hecho de que las manzanas caigan de los árboles – y que todo lo que puede caer, lo hace – es un efecto de la existencia de leyes relativamente simples en el universo. Muchas cosas que vemos a nuestro alrededor son extremadamente complicadas – o «complejas». Piense en el sistema solar, por ejemplo. Hay muchos cuerpos de diferentes tamaños, moviéndose en diferentes trayectorias. Pero hay una cierta lógica en él y la lógica viene de una ley muy simple – la ley de Newton – que se puede expresar como sigue:
Antes de Newton, durante mucho tiempo los científicos sólo pudieron explicar algo acerca de «ángeles empujando» cuando se les preguntaba qué causó que los planetas se muevan. Pero si se conoce la ley, se puede describir no sólo el movimiento de los planetas del sistema solar, sino todo tipo de cuerpos, incluyendo galaxias enteras.
No es raro encontrar una simple ley subyacente que genera sistemas complejos. Piense en los fractales; Conjunto de Mandelbrot, por ejemplo. Los fractales no son sólo entidades matemáticas, son también comunes en la naturaleza. O pensar en modelos tales como las bifurcaciones de Feigenbaum – son el resultado de una ecuación extremadamente simple. Estos son ejemplos de una clase de sistemas que son relativamente comunes en física. Sistemas complejos resultantes de leyes muy simples. Es una de las bellezas de la física que estos sistemas existan.
Ahora, cuando hablamos de sistema complejo, por supuesto lo que viene a nuestra mente es el tema que estamos discutiendo hoy – la economía y lo que la hace moverse. Este es sin duda un sistema muy complejo y uno de los problemas de los economistas es que la mayoría de sus modelos simplemente no parecen estar funcionando muy bien. A veces, los economistas parecen estar todavía pensando en la «mano invisible» que se parece mucho a los ángeles empujando planetas de hace mucho tiempo. Pero los astrónomos ya no piensan en ángeles, mientras que los economistas…bueno, no quiero dedicarme a criticar a los economistas.
2. La Manzana de Newton en economía
Así que, veamos si podemos inyectar algo de física para modelar la economía. ¿Podemos encontrar algo equivalente a la manzana de Newton en la economía? Creo que es posible y permítame mostrar la observación que puede darnos la clave que necesitamos para entender cómo funciona nuestra economía, considerando que se basa fuertemente en recursos no renovables; petróleo crudo en particular. Así, aquí está esta «manzana» para el petróleo crudo, como Marion King Hubbert lo publicó en 1956.

Téngase en cuenta que Hubbert sólo tenía datos hasta 1956, el resto es extrapolación. Lo que este gráfico dice es que esperaba que la producción de petróleo en los Estados Unidos se comportara de una manera determinada. ¿Lo hizo? Sí, como se puede ver en esta imagen.

Concuerda perfectamente, considerando que la curva se extiende por varias décadas. Pero el punto principal, creo, es que la producción de petróleo siguió una cierta trayectoria. Aquí hay una regularidad. Hay algún tipo de ley subyacente. Y no son los ángeles – los ángeles no extraen crudo (por lo que sabemos, al menos, uno se pregunta qué fuente de energía utilizan en el Paraíso…). Por lo tanto, permítanme mostrar los datos históricos de producción para el caso de Hubbert como los tenemos hoy. Está en italiano, pero creo que es fácil de entender.

Este gráfico enfatiza la curva «en forma de campana» que sigue la producción. Hoy en día, esta curva se conoce como «curva de Hubbert» y el máximo en producción es el «pico de Hubbert». Usted seguramente lo ha escuchado. Cuando se refiere a la producción mundial de petróleo, la gente dice «Peak Oil» y escuchamos ese término mencionado muchas veces en esta conferencia.
Ahora, les digo que esta curva puede ser vista como la «manzana caída» que nos da la clave para entender los mecanismos internos del ciclo de explotación. Por supuesto, antes de continuar tengo que convencerlos de que este es un comportamiento muy general. Todas las manzanas caen de los árboles de la misma manera y no sólo las manzanas – también las naranjas y las sandías; al igual que los gatos y los perros, aviones y televisores y lo que sea que se pueda imaginar. En realidad, no exactamente todo – tomen una pluma y verán que no sigue la ley de Newton. Pero, por supuesto, no nos lleva a la conclusión de que la ley de Newton está equivocada. Significa que para encontrar las leyes internas que rigen un sistema, deben asegurarse de que el sistema no esté perturbado por los efectos que nublarán los efectos que estamos estudiando. En el caso de la gravedad, deben asegurarse de que el efecto del aire no afecta demasiado a la caída de un objeto. En el caso de la curva de Hubbert, deben asegurarse de que las acciones del gobierno no afectan a la producción en exceso. En otras palabras, la ley de Hubbert funciona mejor en condiciones de libre mercado; cuando la gente puede decidir si extraer petróleo o no dependiendo de si piensan que pueden ganar dinero o no de la tarea.
3. La Ley Hubbert
Dicho esto, permítanme mostrarles algunos ejemplos de curvas tipo Hubbert.

Éste es la producción de carbón antracita en Pensilvania, uno de los mejores ejemplos que tenemos de una curva de Hubbert. Creo que de esta gráfica Hubbert tuvo la inspiración de proponer una curva similar para el petróleo, aunque no sé si alguna vez mencionó esta curva.

Este es otro ejemplo de una curva de Hubbert, esta vez para un mineral no utilizado para la producción de energía: ácido bórico. Estos son datos que encontré hace unas semanas. La curva no es una curva de Hubbert «perfecta», pero, claramente, la tendencia está ahí.

Este es otro producto mineral, fosfatos (De Dery y Anderson). Estoy mostrando esto porque los fosfatos son un fertilizante fundamental utilizado en la agricultura. Podríamos vivir sin petróleo, pero no podemos vivir sin fosfatos. Aquí; la curva no está completa, pero la tendencia es bastante clara.

Y aquí se puede ver que la curva es la misma también para las mercancías que normalmente no se consideran como «minerales». Los saudíes habían estado extrayendo «agua fósil» de los acuíferos subterráneos y, durante un tiempo, mantuvieron una agricultura floreciente con este agua. De pronto, todo terminó. Por suerte para ellos, pueden importar alimentos con el dinero que hacen por la venta de petróleo. Pero su petróleo tampoco será eterno.

Como último ejemplo, aquí están los datos de algo que no es de ninguna manera un recurso mineral. Es la producción de aceite de ballena (y el hueso de ballena, utilizado para reforzar corsés de damas). Aunque las ballenas se reproducen, fueron cazadas tan rápido que el ciclo fue el mismo que el de los recursos no renovables.
Creo que ustedes ven que hay un patrón; una lógica; y esta curva en forma de campana no aparece sólo para el petróleo o los recursos energéticos. Es un patrón muy general de producción de recursos no renovables (o lentamente renovables, como las ballenas).
Antes de que me interrumpan, me apresuro a decir que hay contraejemplos, por supuesto. Vaya a ver la producción de petróleo en Arabia Saudí, por ejemplo, y no verá ninguna curva en forma de campana. Hay otros ejemplos. Pero los saudíes se basan en suposiciones muy diferentes a las de las compañías petroleras comerciales; los beneficios a corto plazo no son su único objetivo. Como mencioné antes, incluso para la idea de Newton, había contraejemplos; tal como el de la una pluma. Aquí, el concepto es que, cuando los gobiernos o los dictadores, o el Gosplan (la agencia de planificación soviética), no intervienen para ordenar a la gente qué hacer, las acciones de los inversores y operadores se basarán en evaluaciones razonablemente objetivas de lo que es conveniente hacer en términos económicos. Esa evaluación, a su vez, debe basarse en factores físicos – por lo que se espera que un mercado libre se vea fuertemente afectado por la realidad física.
- Entropía y economía
Así pues, les pido que me sigan con esta idea; que la curva de campana sea un comportamiento «natural» de la producción de recursos no renovables o lentamente renovables. Con «natural» quiero decir que es la forma en que se espera que el sistema se comporte cuando no hay interferencias fuertes de tipo político o de otra clase de perturbaciones. Entonces, dije que deberíamos mirar los mecanismos internos que hacen que la economía se comporte de esta manera. Creo que no necesitamos inventar una nueva ley, como lo hizo Newton para la gravedad. Ya tenemos las leyes que necesitamos, aunque hasta ahora no las aplicamos a este caso. Estas son las leyes de la termodinámica. Aquí están las tres leyes en una forma simplificada:
- No puedes ganar
- Incluso no puedes empatar
- No puedes abandonar el juego
¡Eso es, por supuesto, muy simplificado! Hay versiones aún más simples. Por ejemplo, para los economistas sería sólo una diapositiva en blanco (lo siento, dije que no le pegaría a los ¡economistas!). Antes de continuar, déjenme decirles que esta es una idea nueva que está avanzando hoy en día: la idea de aplicar la termodinámica a la economía. Más exactamente, aplicar la «termodinámica de no equilibrio» (NET) al sistema económico. Es un trabajo en progreso. Por lo tanto, lo que voy a decir es todavía provisional, pero creo que estamos en el buen camino.
Ahora déjenme mostrarles esta imagen de una cascada:

Y ahora déjenme hacerles una pregunta: ¿qué hace caer el agua? Dirán que es la gravedad; y eso es correcto. Pero aquí hay un factor más profundo: este movimiento es generado por las leyes de la termodinámica. Nada escapa a las leyes de la termodinámica. Es una pregunta que a veces hago a mis alumnos: ¿cómo explican que el agua fluye en términos termodinámicos? Es difícil para ellos encontrar la respuesta enseguida, y sin embargo han estudiado la termodinámica. Así que déjenme decirles: el agua fluye hacia abajo debido a la segunda ley – la entropía.
Ustedes pueden recordar de sus estudios que la entropía está relacionada con el trastorno. En algunos sentidos, es cierto, pero es una definición que crea mucha confusión. Piensen en la entropía como disipación de calor. Entonces, todo lo que sucede en el mundo es el resultado de un cierto calor que se disipa – la entropía tiende a crecer. Cuando el agua cae de un depósito alto, se crea cierta cantidad de calor. El agua en la parte inferior es ligeramente más caliente que el agua en la parte superior – la energía debe conservarse, por lo que aparece en forma de calor. Lentamente, este calor se disipa en el entorno y eso es lo que impulsa el sistema: el aumento de la entropía. La ley de la entropía es la ley del cambio. Las cosas se mueven porque la entropía puede aumentar – de lo contrario todo permanecería congelado tal como está. Una manera equivalente de decir que las cosas suceden porque los potenciales tienden a igualarse. En el caso de una cascada, tenemos una diferencia de potencial gravitacional (o «gradiente»). Con el petróleo crudo tenemos una diferencia de potencial químico. Hay otros tipos de potenciales, pero no vamos a entrar en eso ahora.
Tal vez no es correcto decir que algo sucede «porque la entropía debe aumentar». Probablemente, es más correcto decir que el universo se comporta de cierta manera y que es conveniente para nosotros describir este comportamiento con conceptos tales como «gravedad», «entropía» o «potenciales». Estos conceptos son más útiles que los que involucran a los ángeles empujando – o similares; como la mano invisible… lo siento; dije no pegarle a los economistas. Pero, en la práctica, para que estos conceptos sean útiles no puedo simplemente decirles: «la economía se mueve porque la entropía debe aumentar». Es cierto, pero tenemos que ir mucho más en detalle. Para ello necesitamos algún tipo de formalismo donde podamos cambiar los parámetros del sistema y ver si podemos reproducir datos históricos, por ejemplo la curva de Hubbert. Eso es lo que haré; mostrando cómo la idea de Hubbert puede derivarse de una interpretación que – en última instancia – tiene que ver con la termodinámica. Pero primero permítanme presentarles el método conocido como «dinámica de sistemas» que puede usarse para describir este tipo de sistemas.
Permítanme mostrar cómo funciona la dinámica del sistema (SD) mostrando una descripción de una cascada. Aquí, en realidad, se trata de una bañera, pero la física es la misma.

El modelo está hecho de cajas, flechas y válvulas. Las cajas se denominan «acciones» y las flechas se denominan «flujos». Si hay dos cajas conectadas entre sí, una acción puede fluir en otra dependiendo de la diferencia de potencial. En general, los conceptos de potencial o gradientes no son tan a menudo utilizados en SD. Este es un defecto, creo. De todos modos, dije que quería hacer un modelo que describa la economía y produzca el comportamiento que hemos denominado «Hubbert». Para hacer eso, una sola cascada no es suficiente. Necesitamos algo un poco más complejo – como esta fuente de tres niveles.

Las fuerzas motrices en el movimiento del agua son las mismas que antes – los potenciales gravitatorios. Ahora, esta fuente no es el modelo perfecto para lo que estoy tratando de hacer. Úsenlo sólo como una ilustración del concepto de que es un sistema impulsado por el potencial. Para modelar una economía, necesitamos un paso más: el concepto conocido como «retroalimentación». Esto significa que tenemos que suponer que el flujo de una población a otra no depende sólo del tamaño de la población superior, sino también de la de la población inferior. El modelo ahora se parece más a un modelo biológico. Piensen en las acciones más bajas que «se alimentan» de la población alta y crecen en proporción. Sin retroalimentación, no tenemos crecimiento y el modelo no define un sistema económico real. Por lo tanto, vamos a dar un paso más y describir el modelo utilizando la convención de la dinámica del sistema.
5. Un modelo simple del sistema económico
Aquí, tenemos un modelo muy simple que tiene tres stocks: recursos, economía y residuos.

Tengan en cuenta las flechas que conectan las existencias a las válvulas. Estas flechas indican la retroalimentación. Pero tengan en cuenta también que el sistema es impulsado por potenciales termodinámicos. Esencialmente, la economía es un motor que transforma los recursos en residuos. Su «combustible» es, principalmente, el potencial químico de los combustibles fósiles.
Ahora, el modelo se hace usando un software llamado «Vensim» que no sólo dibuja flechas y cajas. También «resuelve» el modelo, es decir, calcula los flujos en función de las cantidades iniciales de existencias y de los parámetros del sistema (los «ks» aquí) – los que básicamente describen los potenciales. Nuevamente, permítanme afirmar que estos paquetes de software SD no son pensados en términos de potenciales termodinámicos. Un día, podemos tener paquetes específicamente definidos para ese propósito. Por el momento, vamos a tener en cuenta este punto. Ahora, vamos a ver cómo funciona el sistema. Con Vensim, puedo cambiar los parámetros en tiempo real y ver cómo cambian las existencias y los flujos. Estos son algunos resultados.
El software le permite resolver el modelo de forma iterativa; verán lo que sucede a medida que cambia los valores de las constantes mediante deslizadores. Y, aquí, ya empiezan a ver curvas en forma de campana. Podemos trazar los resultados de una mejor manera; aquí verán cómo las tres principales poblaciones (recursos, economía y residuos) varían con el tiempo.
Este es un comportamiento muy, muy general – funciona para una variedad de sistemas. Describe las reacciones químicas, las epidemias e incluso la explosión de una bomba nuclear. También encontré que se puede aplicar al colapso de los imperios. En cierto modo, es algo así como aplicar la ley de Newton a diferentes sistemas – puedes describir galaxias, sistemas planetarios y trayectorias de naves espaciales, todas con la misma ley simple. Obsérvese que aquí, a diferencia del caso de la gravedad, no tenemos una «fuerza» física que reúne los elementos del sistema; nada que puedas medir con un dinamómetro. Pero hay una entidad poderosa que mueve el sistema de todos modos: la entropía.
Ahora, volviendo al caso de un sistema económico, se ve que el “motor”, que es la economía, acelera hasta un cierto tiempo, y luego se ralentiza y tambalea. Eventualmente, la entropía gana. Cuando todos los recursos se han transformado en desechos, la entropía se ha maximizado. En el caso de la economía mundial, la transformación es principalmente de hidrocarburos fósiles (CxHy) a CO2 y, por supuesto, el potencial químico de los hidrocarburos es mayor que el del CO2. La economía es una enorme reacción química en tres etapas.
Podríamos modificar el sistema teniendo en cuenta muchos más efectos – reciclaje de residuos, por ejemplo, pero no voy a entrar en eso. Veamos, en cambio, cómo el modelo describe la curva de Hubbert, que es el caudal desde el stock de recursos hasta el stock de la economía.
Cualitativamente, se ve que generamos curvas en forma de campana. Aquí, el azul («producción») es el que debe compararse con los datos históricos de producción de petróleo crudo u otras materias primas. Eso es posible, pero no suficiente para decir que el modelo es bueno. Lo que creo es una prueba fundamental para este modelo es si puede encajar al menos DOS conjuntos de datos; si es posible más. Esta es una prueba difícil, ya que me enteré trabajando en eso.

En la práctica, a menudo tenemos buenos datos para la producción, pero para «la economía» es mucho más difícil. Sin embargo, veremos que podemos encontrar buenos datos de «proxy» para eso. Por lo tanto, el modelo se puede poner a esta dura prueba y tener éxito. Podemos probar el modelo en pequeños sistemas económicos que podemos suponer que son autónomos. Permítanme mostrarles un ejemplo, el aceite de ballena en el siglo XIX. Ya habíamos visto los datos de producción antes. La pregunta, entonces, es qué podríamos tomar como datos para «la economía», en este caso relacionado con ese subsistema de toda la economía que estaba involucrado en la caza de ballenas en ese momento. Desafortunadamente, no tenemos estos datos, pero podemos encontrar un buen «proxy» para el tamaño de toda la industria en el tamaño de la flota ballenera. Y vemos que funciona:
Hay otros ejemplos. Junto con mi compañero de trabajo, Alessandro Lavacchi, publicamos un artículo sobre este tema que muestra cómo incluso este modelo muy simple puede ser utilizado para describir la explotación de recursos no renovables. Aquí es sólo otro ejemplo: la producción de crudo en EE.UU. – la quintaesencia «curva de Hubbert».

Tengan en cuenta que aquí hemos utilizado como «producción» no la producción real de petróleo, sino el tamaño de los descubrimientos de petróleo. Esto se debe a que el principal esfuerzo en la producción de petróleo es el descubrimiento. Una vez que hayas encontrado dónde está el petróleo, el proceso de desarrollo es suave, casi «automático», pero se tarda varios años en pasar del primer hallazgo exitoso a producir realmente algo. Y, como proxy para el esfuerzo de la industria petrolera tenemos el número de pozos exploratorios. Observe cómo la industria hizo un gran esfuerzo para encontrar petróleo a partir de la década de 1950, pero básicamente no pudo encontrar mucho. Es típico, como he dicho.
Ahora, para mostrarles lo que el modelo puede hacer, vamos a usarlo para extrapolar las tendencias económicas al futuro. Podríamos tomar como «producción» la producción total mundial de energía primaria y como «economía» usamos el PIB mundial como un proxy. Y aquí está el resultado. Este es un cálculo hecho junto con Leigh Yaxley hace unos años.

Como pueden ver, el modelo predice que la producción de energía primaria alcanzará su pico en algunos años a partir de ahora y luego bajará irreversiblemente. El tamaño de la economía (medida en términos de PIB), curiosamente, seguirá creciendo por un tiempo; hasta un pico y también disminuirá. Por supuesto, ustedes pueden estar perplejos acerca de estos resultados si ustedes los ven como predicciones. Por lo tanto, creo que voy a pasar unos momentos discutiendo lo que exactamente tratamos de hacer con estos modelos. Un punto fundamental es que no podemos hacer predicciones de lo que sucederá en las próximas décadas. Tal vez tenga sentido decir que la producción de energía primaria del mundo alcanzará su punto máximo en cuatro años a partir de ahora; eso es porque tenemos otros modelos que nos dicen eso. Pero sobre el pico del PIB mundial en 2044, bueno, por supuesto tienen que tomar eso como una suposición. Eso no significa que el modelo sea inútil. Si hacen las preguntas correctas al modelo, el modelo les dará respuestas útiles. De lo contrario, existe la regla de «basura en la basura». Por ejemplo, si ustedes están preguntando, «¿Cómo puede la economía seguir creciendo a lo largo del siglo XXI»?, el modelo no puede responderles eso.
Por lo tanto, a partir del modelo pueden obtener información importante en términos de tendencias. Por ejemplo, si ustedes ven la producción mundial de energía bajando y el PIB subiendo; entonces ustedes puede ser que sean muy felices porque dirán que la economía está llegando a ser «más eficiente.» Pero el modelo les dice que ustedes no están siendo más eficientes, ustedes están utilizando simplemente los recursos acumulados previamente para mantener la economía funcionando. Por supuesto, ustedes pueden hacerlo sólo por un tiempo.
Pero sí entiendo que este modelo es realmente muy simplificado. Por ejemplo, no incluye recursos renovables y es cierto que nuestra economía no está completamente basada en recursos no renovables; aunque la mayor parte lo es. Por lo tanto, la pregunta que ustedes pueden hacer ahora es si podemos hacer algo más detallado. ¿Qué hay de añadir al modelo agricultura, reciclaje, energía renovable, etc.?
Por supuesto. Se puede hacer y, de hecho, ya se ha hecho hace mucho tiempo. La primera vez fue en 1971 en una obra titulada «World Dynamics» de Jay Forrester quien, por cierto, es el inventor de la dinámica de sistemas. Pero examinemos aquí el estudio más detallado que se publicó un año más tarde, en 1972. Se inspiró en el trabajo de Forrester y estoy seguro de que han oído hablar de él. Es el «Informe del Club de Roma» titulado «Los Límites al Crecimiento» de 1972.
6. Los límites del crecimiento
Ahora, ustedes pueden haber oído que «los límites al crecimiento» (llamémosle «LTG») es un trabajo anticuado; que todo fue un error, que hicieron predicciones equivocadas y cosas por el estilo. Esas son solo leyendas urbanas. La gente tiende a no creer lo que no les gusta y es por eso que LTG fue tan ampliamente rechazado y hasta demonizado. Escribí un libro entero sobre la historia de «LTG», que será publicado el próximo mes, pero no debo entrar en demasiados detalles. Permítanme decirles que The Limits to Growth era un estudio muy avanzado para sus tiempos; no fue un error y sus predicciones no estaban equivocadas. En cualquier caso, estos modelos están ahí para mostrar tendencias; no para darle fechas exactas para lo que va a pasar.
Así que, vamos a entrar en algunos detalles. Permítanme mostrarles la estructura del primer modelo de LTG, llamado «World3». Este es un esquema tomado de la edición italiana de 1972:

Por supuesto, no se puede entender nada aquí – y no sólo porque las cajas están etiquetadas en italiano. La razón por la que estoy mostrando esta imagen es para darles una idea de la estructura de un modelo completo del mundo SD. Parece uno de esos rompecabezas que encuentras en la edición dominical de tu periódico. Este es un problema que creo que tenemos con la dinámica de sistemas. La mayoría de los modelos SD tienen el mismo aspecto; a primera vista no tienen idea de lo que está siendo modelado: podría ser un mercado de pescado, una planta nuclear o un hospital; todavía ven cajas todo el camino. Hay paquetes de software SD que les permiten más libertad gráfica; pero déjenme no entrar en eso. El punto es que este modelo -el modelo «world3» de «The Limits to Growth» – no es tan diferente, al final, del modelo simple que les había estado mostrando antes. Todos estos modelos tienen algo en común: los flujos que van de una caja a otra son gobernados por la termodinámica. Así que podríamos pensar en un modelo como éste – el LTG- como una gran fuente de varios niveles, más o menos así:

Esta es la fuente de Trevi en Roma. Es complicado, como se ve, pero, al final, hay una fuerza común que mueve el agua en la fuente: es el potencial gravitatorio el que mueve el agua hacia abajo. Por lo tanto, el todo tiene sentido: hay una ley física que rige el flujo del agua. Así, pudimos ver el modelo LTG como una fuente especialmente complicada. Podríamos entrar en detalles, pero por supuesto no queremos hacerlo ahora. Vamos a intentar, en cambio, simplificar el modelo y ver si podemos entender de qué se trata. Aquí está una representación gráfica del modelo World3 hecho por Magne Myrtveit hace unos años:

Este es un modelo simplificado; no reproduce todas las características del original. Pero tiene la ventaja de ser del «tamaño de la mente» – es algo que podemos captar y el uso de imágenes ayuda mucho; es mucho mejor que cajas con alguna etiqueta en ellas. Por lo tanto, como pueden ver, el modelo puede reducirse a un pequeño número de acciones. Aquí los vemos: tenemos cinco poblaciones principales; en orden alfabético tenemos agricultura, capital industrial, recursos no renovables, población y contaminación.
Tengan en cuenta que, de nuevo, esta representación del modelo no muestra el trasfondo termodinámico. Con los stocks dispuestos como están en la figura, los potenciales que mueven el sistema no son evidentes. Sin embargo, deben estar allí. Nada puede moverse sin una diferencia potencial que lo empuje. Por lo tanto, una cosa que tendremos que hacer algún día es hacer visibles estos potenciales en las representaciones de estos modelos. Pero, como he dicho, les estoy hablando de un trabajo en curso – hay mucho trabajo en este campo que alguien tendrá que hacer en el futuro.
Ahora, vamos a examinar el modelo un poco más de cerca. Reconocen que hay tres acciones que son iguales a las del modelo más simple que los mostré antes. Aquí las existencias reciben diferentes nombres: recursos minerales (el stock que se llamaba «recursos»), capital industrial («economía») y contaminación («residuos»). Luego, hay dos acciones más; uno es la agricultura – que se pretende como recursos renovables y luego hay población. Estas dos nuevas existencias son necesarias para más detalles en el modelo y, por supuesto, hay muchas más conexiones: ahora el modelo puede describir cosas como el reciclaje y los efectos de las contaminaciones en el capital industrial. Tenga en cuenta también que los recursos «renovables» pueden no ser absolutamente así. El suelo no es renovable si está sobreexplotado – se llama erosión.
En este punto, podemos ir a los resultados. Les estoy mostrando los datos de la primera edición de LTG, en 1972, los principales resultados no han cambiado mucho en simulaciones realizadas 30 años después con datos históricos actualizados. Por lo tanto, esta es la salida del modelo para los mejores datos disponibles en ese momento; que se llamó la «corrida estándar» (el gráfico es, de nuevo, de la edición italiana, el texto es de la edición de 2004)

Las etiquetas son demasiado pequeñas para ser legibles, pero permítanme describir estos resultados. En primer lugar, la escala abarca dos siglos; comenzando en 1900 y llegando a 2100. Estamos en el centro de la gráfica. Ahora, mire la curva de «recursos» (roja). Tiene exactamente la misma forma que la que obtuvimos con el modelo más simple, antes. Y las curvas de producción industrial y agrícola (verde y marrón), sí, se parecen mucho a las curvas Hubbert, aunque aquí no son simétricas. Esto se debe en parte al efecto de la contaminación que se suma al efecto del agotamiento. Pero no es un cambio muy grande.
Y luego, por supuesto, se ve la curva de contaminación (verde oscuro) – aquí una suposición básica es que la contaminación no es permanente – es gradualmente re-absorbida por el ecosistema. Por lo tanto, la curva de contaminación sube y baja, siguiendo con un lapso de tiempo el comportamiento de la producción industrial y agrícola. Finalmente, hay población. Sigue creciendo a pesar de que la producción agrícola disminuye; esto es porque la gente todavía puede reproducirse siempre y cuando haya al menos algún alimento. En realidad, no hay proporcionalidad directa en términos de disponibilidad de alimentos y tasa de reproducción, pero en cualquier caso, a largo plazo, la falta de alimentos cobra su peaje. La población comienza a bajar también. Lo que la gráfica muestra es el colapso total de la civilización – nuestra civilización. Es la termodinámica haciendo su trabajo; es la forma en que todo en el universo funciona.
Ustedes ven que, de acuerdo con este escenario, el inicio del colapso de la civilización industrial podría comenzar, bueno, casi ahora. Eso podría explicar algunas cosas sobre lo que está sucediendo ahora en el mundo. Pero permítanme decirles que no se supone que estas simulaciones le proporcionen fechas para que ocurran eventos específicos, excepto en una forma muy, muy aproximada. Como ya he dicho, estas simulaciones les hablan de tendencias, no de eventos. Por lo tanto, el modelo les dice que un colapso de la economía mundial podría comenzar en algún momento durante las primeras décadas del siglo 21 – tal vez más tarde, pero en todo caso no en un futuro remoto.
Pero hay más; mucho más. Aquí entramos en algo muy interesante: es que las tendencias pueden cambiar según sus suposiciones. Por lo tanto, el escenario de «corrida estándar» les dice que la civilización se derrumba principalmente debido al agotamiento de recursos. Pero podemos cambiar los supuestos iniciales y llegar a resultados muy diferentes. Si ustedes asumen que tenemos más recursos o – lo que es casi lo mismo – que la contaminación es más perjudicial de lo esperado, entonces lo que trae la civilización hacia abajo no es el agotamiento de los recursos sino el efecto de la contaminación. Esto es, otra vez, de la edición 1972 de «los límites al crecimiento» – los resultados no han cambiado en cálculos más recientes.

Miren la curva de contaminación disparándose rápidamente – es un camino diferente para llegar al mismo resultado: colapso. Al final, la termodinámica debe ganar. Por supuesto, hoy en día tendemos a ver esta «contaminación» como algo muy específico: el calentamiento global causado por las emisiones de gases de efecto invernadero.
Así que, ya ves, estamos caminando sobre un filo de cuchillo. Podemos ser destruidos por el cambio climático o por el agotamiento de recursos (y posiblemente por ambos al mismo tiempo). De las simulaciones de LTG más recientes realizadas alrededor de 2004 todavía parece que es más probable que seremos destruidos por el agotamiento de recursos – pero no podemos decirlo. Los datos son demasiado inciertos y en los últimos tiempos hemos visto una tendencia preocupante de que la gente vaya por más y más combustibles «sucios» (carbón, arenas alquitranadas y similares) y que aumente la contaminación mientras nos da la ilusión de tener más recursos. Pero el resultado final será el mismo.
7. Frente al colapso (una visión basada en la filosofía estoica)
Aquí estamos. Ustedes observan, viendo estos resultados en términos termodinámicos que les dan un cierto valor a la antigua profecía – algo que la propia Cassandra podría haber pronunciado. No se le creía, por supuesto; al igual que hoy no se les cree a los autores de LTG. Pero hay restricciones termodinámicas al sistema que no podemos descartar, aunque estos límites no aparezcan en los libros de texto de economía. El resultado final es el colapso de una forma u otra. No podemos evitarlo.
No es que no pudiéramos hacer algo para suavizar el golpe. ¿Qué es el colapso, después de todo? Es sólo un cambio rápido; pero las cosas están cambiando todo el tiempo. Un colapso es sólo un período en el que las cosas están cambiando más rápido de lo habitual. Es como estrellarse un coche en una pared: tal vez no se puede evitar, pero si usas cinturones de seguridad y tienes un airbag será mucho mejor. Aún más importante es ver la pared tan pronto como sea posible y empezar a frenar. Por lo tanto, detectar el colapso de antemano nos permitiría entrar en estrategias de mitigación. Significa manejar el colapso de tal manera de transformarse en un «colapso suave»; aunque no todo el mundo puede ser feliz por ello. Ustedes no son felices cuando el coche se estrella en una pared, pero si sale de los restos ileso, bueno, es una buena cosa.
Esta es la idea que vemos muy a menudo discutida en reuniones como ésta. Discutimos acerca de lo que debemos hacer para evitar, o al menos mitigar, las cosas oscuras y terribles que el agotamiento y el cambio climático nos están trayendo. Discutimos planes, mejoras tecnológicas, «desarrollo sostenible» y muchas más ideas. El problema es que, fuera de esta conferencia, no se está haciendo nada y nadie parece preocuparse por lo que el futuro nos reserva. Es peor que eso, hay un montón de personas por ahí que pasan su tiempo despreciando activamente lo que la ciencia nos está diciendo sobre los riesgos que estamos enfrentando; el calentamiento global en particular. Desafortunadamente, si negamos la termodinámica estamos destinados a experimentarla en nosotros mismos.
Por lo tanto, me temo que toda la planificación y todas las «soluciones» que hemos estado discutiendo tan seriamente en esta conferencia conducirán a muy poco. ¿Entonces, qué vamos a hacer? Bueno, eso depende de ustedes, pero una cosa les puedo decir y es que podríamos aprender algo más de la historia. Los colapsos ya han ocurrido para las civilizaciones pasadas – esto lo sabemos muy bien. Y la pregunta es qué pensaron, qué hicieron, cuando vieron cómo su mundo se derrumbaba a su alrededor. Esta es una pregunta fascinante y podemos intentar contestarla mirando la civilización que es quizás la más similar a la nuestra y para la cual tenemos la mayoría de los datos: el Imperio Romano.
Ya he escrito algo sobre la caída del Imperio Romano; lo titulé «Peak Civilization». Vi que fue un gran éxito en términos de lectores. De hecho, ustedes pueden haber notado que el imperio romano es muy popular hoy en día. Es porque no es tan difícil de entender que hay tantas similitudes entre nosotros y los romanos. No todo, pero muchas cosas. En «Peak Civilization» traté de aplicar la dinámica de sistemas al Imperio Romano -que no podía hacerse cuantitativa, por supuesto, pero en términos cualitativos, sí, funciona. Los romanos fueron derribados por una combinación de agotamiento de recursos y contaminación. Los mismos problemas que enfrentamos.
Entonces, ¿qué hicieron los romanos? Bueno, una cosa que está clara es que podrían hacer muy poco. Nunca podrían manejar el cambio; casi siempre fueron superados por el cambio. No es que no lo intentaran; pero era difícil: el imperio era demasiado grande y los esfuerzos humanos demasiado insignificantes en comparación. Incluso los emperadores, no podían revertir la tendencia al colapso, por mucho que lo intentaran. Ni siquiera un emperador puede vencer a la termodinámica. Entonces, ¿qué pensaban los romanos de la situación? ¿Se deprimieron? ¿Se esperanzaron? ¿Se resignaron? Bueno, podemos tener alguna idea de lo que estaban pensando con lo que nos dejaron por escrito. Y una cosa que podemos identificar como su respuesta a la situación fue la filosofía que llamamos «estoicismo».
Por supuesto, esta no es una presentación sobre la filosofía, pero creo que podría concluirla con una nota sobre esta antigua filosofía porque podría ser útil para nosotros también. El estoicismo se desarrolló en Grecia en un período en que la civilización griega estaba colapsando. Entonces los romanos lo recogieron y lo adaptaron a su cultura. El estoicismo es una filosofía que permea la forma romana de pensar, también influyó profundamente en la filosofía cristiana y todavía podemos sentir en la actualidad su influencia en nuestro mundo. La idea básica, por lo que puedo entender, es que vives en tiempos difíciles, sí, pero mantienes lo que podríamos llamar una «postura moral». Podríamos decir que los estoicos pensaban que «la virtud es su propia recompensa» aunque, por supuesto, hay mucho más que eso en el estoicismo.
Así, cuando venía de Italia a España, llevé conmigo un libro escrito por Marco Aurelio, un emperador romano que vivió y gobernó a mediados del siglo II dC. Se titula «Meditaciones». Tal vez no es un gran libro, pero seguramente es interesante; principalmente porque es una especie de manual sobre cómo aplicar el estoicismo a la vida cotidiana. Marcus tuvo un tiempo muy duro durante su reinado. Tuvo que luchar casi todo el tiempo y nunca tuvo tiempo de escribir un tratado de filosofía. Sólo algunas notas, mientras tenía un momento libre del campo de batalla. Eso es lo que son las «Meditaciones»; un libro de fragmentos. A partir de ella, puede obtener una buena idea de la personalidad del emperador. Él era una buena persona – diría yo – que había visto mucho y experimentado mucho. Siempre había tratado de hacer lo mejor posible, pero comprendía lo penosos que eran los esfuerzos humanos.

De las «Meditaciones» de Marcus y de lo que he leído acerca del estoicismo, creo que puedo resumir la idea básica como:
«No puedes ganar contra la entropía, pero debes comportarte como si pudieras.»
Por supuesto, Marcus no sabía acerca de la entropía, pero tenía muy claro cómo el universo está en flujo continuo. Las cosas cambian y esta es la única verdad inmutable. Creo que este es nuestro destino y lo que tenemos que hacer. Probablemente, no podremos salvar el mundo que conocemos. Probablemente, no podremos evitar el inmenso sufrimiento humano en los años venideros. Sin embargo, debemos hacer nuestro mejor esfuerzo para intentar y – quién sabe – lo que podremos hacer podría marcar la diferencia. Creo que esta es la lección que Marcus nos está diciendo, incluso desde el abismo de tiempo que se extiende casi dos milenios. Por lo tanto, les dejo con algunas palabras del libro «Meditaciones» que tal vez ustedes pueden tomar como relevantes para nosotros.
“Y por encima de todo, no te atormentes ni te esfuerces en demasía; antes bien, sé hombre libre y mira las cosas como varón, como hombre, como ciudadano, como ser mortal. Y entre las máximas que tendrás a mano y hacia las que te inclinarás, figuren estas dos: una, que las cosas no alcanzan al alma, sino que se encuentran fuera, desprovistas de temblor, y las turbaciones surgen de la única opinión interior. Y la segunda, que todas esas cosas que estás viendo, pronto se transformarán y ya no existirán. Piensa también constantemente de cuántas transformaciones has sido ya por casualidad testigo. «El mundo, alteración; la vida, opinión» (El universo es cambio y la vida lo que tu creas que es)”
Agradecimientos
Quiero agradecer a todos ustedes por su atención y también a los organizadores de esta conferencia, David Lafarga y Pilar Carrero, por todo el trabajo que hicieron. También me gustaría dar las gracias a Daniel Gómez por haberme conducido a Barbastro desde Barcelona y por la foto de mí en la conferencia, con la manzana. Finalmente, gracias a Aglaia Gómez por su ayuda en muchas cosas durante y antes de la conferencia.
