Por Marcelo Viñas
Ir a PUBLICACIÓN
4.2 DEGRADACIÓN QUÍMICA
La degradación química está recibiendo una atención creciente en los últimos 15 años, paralelamente con el proceso de agriculturización. La degradación química involucra dos procesos fundamentales: la meteorización química y la dinámica de la materia orgánica. Dos tipos de degradación química son los más frecuentes. Por un lado el agotamiento de los nutrientes, por el otro el desbalance químico (acidificación, salinización, contaminación).
Agotamiento de nutrientes
Los sistemas de producción agrícola ocasionan la remoción neta de nutrientes del suelo. Cuando las reservas naturales son agotadas, los nutrientes se obtienen a partir de la mineralización de la materia orgánica, la disolución de precipitados o la desorción. La degradación se manifiesta cuanto el total de reservas de nutrientes son inadecuadas para producir, o cuando la tasa de movilización de nutrientes es menor que la demandada por la biomasa. Cantidades enormes de nutrientes son exportados con las cosechas. Si no existe reposición vía fertilizantes, abonos, compostaje, fijación biológica de N, los nutrientes sufren un rápido agotamiento.
En general los nutrientes se reciclan en la biosfera, aunque los tiempos de los ciclos sean muy diferentes entre unos y otros. El ciclo del Nitrógeno (N), por ejemplo, está mediado por organismos y tiene un tiempo de renovación relativamente rápido. El ciclo del fósforo (P), en cambio puede ser de miles de años. Esto sumado al hecho de su escasez natural, convierten a este nutriente en un factor limitante y en gran medida, en un “recurso minero”. En la dinámica de los nutrientes tiene una importancia fundamental la materia orgánica del suelo (MO). Mientras que la producción de granos se encuentra actualmente en unos 100 millones de toneladas, la fertilización, si bien ha crecido significativamente, no alcanza a las 2 millones de toneladas, por lo que los balances de nutrientes son negativos y esto conduce al agotamiento indefectible de la MO (Casas, 2001).
En nuestro país se observa un agotamiento de nutrientes como nitrógeno, fósforo y microelementos. Si bien estos procesos se presentan en mayor o en menor grado, mediante las rotaciones y/o las fertilizaciones se pueden controlar adecuadamente en la medida que el daño infrigido al suelo no sea irreparable (Casas,1998). La reposición de nutrientes significa la devolución al suelo, vía fertilizantes sintéticos, de los nutrientes que extrajo el cultivo.
En la última década, fueron numerosos los estudios que indicaban una reposición de nutrientes deficitaria. Esto tiene dos significados principales: por un lado la pérdida de fertilidad de los suelos, por el otro, la descapitalización en términos económicos. Es evidente que cuando la fertilización no devuelve al suelo lo que el cultivo se lleva, la producción se basa en una extracción neta de nutrientes del suelo, lo que significa un subsidio del suelo al negocio agrícola.
La Asociación Civil Fertilizar estimó que a nivel nacional, para la campaña agrícola 2007/08, la reposición de nutrientes habría alcanzado el 42%; para la 2008/09 el 32% y no habrían superado el 27% para la campaña 2009/10 (Manchado, 2010). Estos valores son parte de una tendencia que tiene varias décadas. Cruzate y Casas (2003), utilizando información de la campaña agrícola 2001/2002, estimaron balances negativos de los nutrientes del suelo para los cultivos de soja, trigo, maíz, girasol y sorgo en todo el
país, principalmente en la región pampeana, determinando índices crecientes de
susceptibilidad al empobrecimiento en fósforo, azufre, calcio y boro.
Ciampitti y García (2007) estimaron entre un 30% a 70% el aporte de nitrógeno a través de la fijación simbiótica de este elemento por parte de la soja. El resto fue entregado por el suelo. En este sentido, Barbagelata y Melchiori (2007) sostienen que para Nitrógeno y otros macro nutrientes constitutivos de los suelos y que no pueden generarse a gran escala por procesos biológicos, se registran tasas de exportación mayores que los niveles de reposición. Gelati y Vázquez (2007) evaluaron la extracción agrícola de bases (Calcio, Magnesio y Potasio) en una superficie de casi 1,7 millones de has en el norte de la provincia de Buenos durante el periodo 1970-2003, señalando su falta de reposición. En las Región Centro Sur de al Provincia de Buenos Aires. Se encontró que la incorporación de soja y otros cultivos de alto rendimiento no fue acompañada de una reposición sistemática de los nutrientes en la misma mediada que fueron extraídos.
El cultivo de soja en dicha región paso de 911.610 has a 1.158.795 has, desde la campaña 2006/07 a la 2008/09 y la aplicación de fertilizantes, de acuerdo a la opinión de informantes calificados, se ha estancado y hasta retraído.
Cruzate y Casas (2012) estiman a nivel nacional, para la campaña 2010/11 calcularon en un 34,6 % la reposición de N, P, K, S y Ca extraídos en la cosecha (Fig. 5). La extracción total de nutrientes en esta campaña es un 11% mayor que la encontrada en la campaña 2006/07. Los autores aseguran que:
“la situación descripta indica la existencia de sistemas productivos que no son sostenibles, afectando negativamente los niveles de fertilidad en incrementando los procesos de degradación de los suelos y, por ende, limitando el crecimiento de la producción agrícola nacional”.


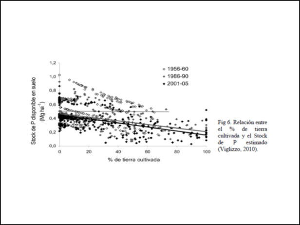
En una estimación realizada en basa a 399 distritos y por tres períodos (1956-60; 1988-90: 2001-05), Viglizzo (2010) estimó una disminución del stock de P en relación al porcentaje de tierra cultivada (Fig 6), señalando que:
“la extracción no compensada estaría deteriorando de manera creciente los stocks de P por debajo de umbrales que se consideran limitativos (< 20 ppm) para la productividad de los cultivos. El problema parece agravarse significativamente en las regiones expuestas a planteos de agricultura permanente o casi permanente. Durante la década 1996- 2006, un porcentaje creciente de suelos de la Pampa Subhúmeda alcanzó niveles inferiores a 20 ppm, de persistir esta tendencia, los altos rendimientos agrícolas alcanzados en los años 1980-90 tendrían dificultad para sostenerse sin el soporte de una fertilización fosfórica sistemática”.
Quintero et al. (2008) observaron que en los últimos 12 años la frecuencia de valores muy bajos de P disponible en suelo (menos de 10 mg/kg-1) se incrementó al 60-70 % de los lotes analizados en Entre Ríos. (citado por Andriulo, 2010)
Esto es particularmente preocupante si consideramos que los depósitos de P son finitos, y que algunos especialistas indican que hay signos de agotamiento de los yacimientos, con lo cual se supone que inevitablemente su precio subirá en los mercados (Gilbert, 2009, citado por Viglizzo, 2010).
La extracción y el balance negativo de nutrientes pueden calcularse en términos monetarios. Se estima que se repone entre 20-25% del N; 40-45% del P y menos del 1% del potasio (K) extraído por los cultivos. Estos resultados, trasladados al valor equivalente en fertilizantes químicos comerciales, implican perdidas millonarias en términos del desbalance de nutrientes (García, 2003). Este valor puede representar entre el 15 y el 20 % de los márgenes brutos de la cosecha. Flores y Saradon (2002) por ejemplo, estimaron que los costo de reposición de los nutrientes (N, P, K) perdidos por soja, trigo y maíz durante 30 años (1979-1999), alcanzó a 1825 $/ha para el cultivo de soja, 697 $/ha para el trigo y 1461 $/ha para el maíz. Estos valores representaron el 21%, 20% y 19% respectivamente, de los márgenes brutos promedios de la década del ’80 y ’90. Resultados similares fueron encontrados por otros autores en la década del 2000 (Cruzate y Casas, 2003, 2009, 2012).
En valores absolutos, las cifras son muy importantes. Por ejemplo Cruzate y Casas (2012) indican que la exportación de nutrientes en grano, en la campaña agrícola 2010/11, fue de alrededor de 2.57 millones de toneladas, lo que representa una cifra de U$S 3.630 millones”. Asimismo señalan que:
“…esta especie de subsidio que la riqueza natural de nuestros suelos otorga al usuario de la tierra y al estado, en realidad no es otra cosa que una pérdida paulatina del capital suelo. Un simple cálculo indica que si en los márgenes brutos de las explotaciones agropecuarias se incluyeran los costos de reposición de nutrientes extraídos por las cosechas, la rentabilidad de los cultivos sufriría variaciones en función del sistema de rotación elegido. Serviría además para demostrar la dificultad de obtener planteos sustentables tanto desde el punto de vista físico como económico, cuando la visión es estrictamente cortoplacista. La calidad natural de nuestros suelos tiene límites, sobrepasados los cuales, la vulnerabilidad de los mismos se vuelve crítica”.
La mayor fuente de nitrógeno para los cultivos sigue siendo la materia orgánica, especialmente cuando la fertilización es insuficiente. Esto conduce necesariamente a una degradación profunda del suelo, que va mucho más allá del mero déficit de nutrientes. Esto es señalado en innumerables trabajos especializados. Como ejemplo, podemos citar a Cordone y Martínez (2004):
“Considerando este modelo productivo, y teniendo en cuenta la fertilización promedio que se aplica en la zona (Casilda, Santa Fe), así como lo aportado por la fijación biológica de nitrógeno (N), surge un balance negativo de nutrientes. Evidentemente, es un modelo de extracción de minerales del suelo que no se condice con un planteo productivo que pueda sostenerse en el mediano o largo plazo. Esto ha sido posible a expensas de la disminución del contenido de materia orgánica y del stock de nutrientes del que estos suelos estaban dotados naturalmente”.
Es importante destacar que la fertilización por sí sola, si bien puede devolver al suelo los nutrientes llevados por la cosecha, no garantiza una recuperación integral del mismo. Los cambios en la estructura, en la materia orgánica, en la acidez, en la biodiversidad del suelo, entre otros, no son compensados por la fertilización química, incluso algunos pueden ser agravados por la misma.
Hasta ahora se analizaron los nutrientes extraídos por el cultivo. Sin embargo, otra pérdida de nutrientes se produce cuando los suelos son sometidos a procesos erosivos. En algunos casos, la pérdida de nutrientes y la pérdida de fertilidad por erosión puede equivaler a lo extraído por 20 cultivos (Casas, 1998).
Desbalance químico (salinización, acidificación, contaminación)
La tendencia a la salinización está directamente vinculada al manejo inadecuado del riego y del drenaje, aunque puede ser afectada por otros factores como la deforestación, sobrepastoreo, el agotamiento de la biomasa, la contaminación química. La salinización siempre resulta en la degradación del suelo y en la disminución de su productividad. La salinización producida por un mal riego puede durar siglos luego de que el riego fue suspendido. Uno de los efectos de la salinización es el aumento del potencial osmótico, que compite con la extracción de agua por parte de las raíces (López Falcón, 2002).
Una gran parte de los suelos afectados por sales deben ser mantenidos en su estado actual, sin ningún intento de utilización, la cual puede resultar impráctica, costosa y riesgosa. La utilización y manejo de suelos afectado pogr sales, donde y cuando sea posible, debe hacerse bajo un enfoque holístico, considerando todos los aspectos. En áreas bajo riego o en áreas a ser regadas, el estudio y control de la alcalinidad y/o salinidad debe comenzar mucho antes de poner en operación los sistemas de riego y drenaje. Debe decidirse antes si la tierra es razonablemente adecuada para ser puesta bajo riego. (Szablolcs, 1998, citado por López Falcón, 2002).
En la Argentina, la salinización de tierras bajo riego, destinadas a cultivos intensivos de alto valor preocupa principalmente dado el acelerado y generalizado avance de superficie afectada. La elevación de la capa freática por riego excesivo en áreas de drenaje deficiente, es generalmente la causa desencadenante de la salinización de las tierras. En 1986, las zonas de riego totalizaban unas 1.540.000 ha. de las cuales una tercera parte (585.000) estaban salinizadas, y otra tercera parte (554.000) con problemas de drenaje y en vías de salinización. (FECIC, 1986). El mal manejo del riego y del drenaje lleva a la elevación de la napa freática, la salinización progresiva de los suelos, la erosión, el lavado de nutrientes, los cambios en el pH, un conjunto de efectos que determinan el deterioro del suelo. A esto hay que sumar los riesgos de salinización inherentes al reemplazo de bosques secos por cultivos agrícolas mencionados más arriba (Jobbágy et al., 2008).
La acidificación del suelo se produce principalmente por el uso de fertilizantes amoniacales y por la pérdida de bases. El principal impacto es la reducción del rendimiento de los cultivos, la pérdida de diversidad ya que hay que emplear especies tolerantes, la reducción de la fijación de N y otra actividad biológica, el aumento en la concentración elementos tóxicos como Al (aluminio) y Mn (manganeso).
La tendencia a la agricultura produce una fuerte extracción de calcio por los cultivos, generando la acidificación de los suelos. Se estima que en promedio los suelos han perdido entre un 20 y 30 por ciento del contenido original de calcio, con un descenso generalizado del pH (Casas, 1998).
Lo propio sucede en suelos forestados. Las plantaciones forestales extraen aparte de muchos nutrientes, una enorme cantidad de calcio del suelo, produciendo su acidificación. Esto es reforzado por la presencia de un mantillo que contribuye a hacerlo más ácido. Por otra parte, se demostró que el Al es arrastrado hacia la superficie del suelo, donde se encuentra la zona con mayor actividad biológica. Estos procesos determinan un descenso brusco de la actividad biológica del suelo. La degradación de los materiales vegetales es 15 veces más lenta que en suelos sin forestación (Carrere y Lohman, 1996).
La contaminación está dada principalmente por los insumos y deshechos de la agricultura (fertilizantes, insecticidas, herbicidas, funguicidas). Otras fuentes de contaminación son los metales tóxicos (por disposición de residuos industriales, dragado de sedimentos, contaminación nuclear, industria petrolera).
Si bien el tipo de plaguicidas empleados en la actualidad tienen menos toxicidad y residualidad que los usados hace 2 o 3 décadas, su volumen se incrementó de manera explosiva. La intensificación agrícola argentina, especialmente con variedades de OGM (organismos genéticamente modificados) trajo aparejado un aumento exponencial en el empleo de plaguicidas. La mayor parte de la investigación ecotoxicológica se centró en el herbicida glifosato (Camino y Aparicio, 2010), cuyo uso pasó de 1 a 150 millones de litros por año entre 1994 y 2003 (Maarten Dros, 2004). Frente al mito común de que el glifosato se “desactiva” en contacto con la tierra, muchos estudios muestran su movilidad después de las aplicaciones. Un estudio reciente, realizado en suelos bien estructurados del sudeste bonaerense, demostró que la lixiviación de glifosato podría representar un riesgo potencial de contaminación de agua subterránea (Costa et al., 2010). Sasal et al. (2010) demostraron el potencial contaminante del glifosato y su metabolitao AMPA detectando su presencia en aguas de drenaje y escurrimiento, lo que favorecerían su pasaje a la capa freática y los cursos superficiales. Además, en todos ámbitos analizados (tejidos vegetales, aguas de drenaje y escurrimiento) encontraron glifosato a pesar de la variabilidad de las concentraciones.
La predominancia del glifosato, distrajo la atención sobre el empleo de otros plaguicidas que también acompañan a la soja. Normalmente, junto a 2 o 3 aplicaciones de glifosato, el cultivo recibe normalmente aplicaciones de cipermetrina, clorpirifós y endosulfán, entre los insecticidas, y funguicidas como triazoles o estrobirulina (Brodeur, 2010). Estos productos pueden ser aplicados solos o en combinaciones. Esto indica una complejidad extraordinariamente alta a la hora de realizar análisis minuciosos de sus impactos sobre el ambiente y sobre distintos organismos, sus antagonismos y sinergias. La complejidad de este tema requiere una investigación más pormenorizada, más aún considerando que más allá de la soja, prácticamente todas las producciones agrícolas insumen plaguicidas, y que el número de principios activos registrados para su uso en la Argentina supera los 200.
Ir a PUBLICACIÓN
